
Всеобща тайна е, че по-бързата интернет свързаност ни е направила по-нетърпеливи от всякога.
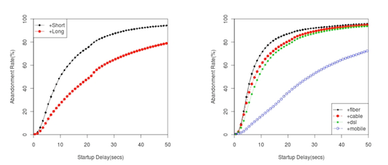
Ново проучване от професор Рамеш Ситарман от University of Massachusetts намери, че интернет потребителите спират да гледат видеоклипове, когато времето за зареждането им е повече от две секунди. Всяка допълнителна секунда забавяне отказва още 6 процента зрители. С други думи, в първите пет секунди на зареждане, 20 процента от потребителите се отказват от онлайн видеото, което са възнамерявали да гледат.

Данните се отнасят за „кратки“ (според професора) клипове онлайн – такива под 30 минути времетраене. Може спокойно да се предположи, че обикновените две-три минутни клипове губят много повече зрители, ако отнемат повече време за зареждане.
Проучването също така намерило, че потребителите с най-високи интернет скорости са най-нетърпеливи, в сравнение с онези, които ползват DSL и мобилна свързаност.
